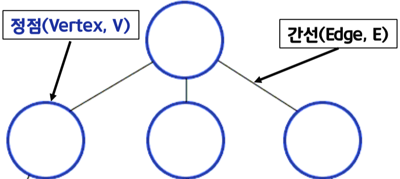
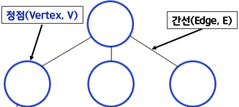
문제 링크: https://www.acmicpc.net/problem/2178 풀이 1. 논리적인 순서 확정 입력1: 미로를 만들기 위한 행(N), 열(M)의 수 입력2: 줄바꿈(개행문자)을 기준으로 행의 수(N)만큼 추가적으로 입력을 하는데, 각 입력에는 열의 갯수(M)만큼의 숫자를 입력한다. 출력: 시작점부터 N,M까지 최단경로를 지나는 정점의 갯수 출력 이 미로문제를 격자형 그래프로 바라봤을때, 시작점부터 종착지까지 그래프의 연결노드 갯수(vertex)*_가 출력하고자하는 값과 동일함을 알수있다. *_격자형 그래프를 만들기 위해서는, 처음 시작하는 점에서 인접한 정점이 1일 경우 간선(Edge)을 만들어 줄 수 있다. 먼저, 격자형 그래프를 만들고 격자형 그래프를 만들게 되면 하나의 연결요소를 만들..
                           
                        
 
                         
                         
                         
                         
                         
                        